2025级能源储运类本研一体化培养选拔及面试名单

发布者:张守花发布时间:2025-09-06浏览次数:12

依据学校《关于做好2025级本研一体班、能源未来技术学院、基础学科拔尖基地班学生选拔工作的通知》及《2025级能源储运类本研一体化培养选拔方案》相关要求,综合考虑报名学生的数学、英语成绩、各省高考招生人数、本研一体班报名人数和各省在学校的最高分等,确定了能源储运类本研一体面试名单,具体名单确定过程如下:

一、初选办法

1.2025级能源储运类本研一体班网络报名人数为107人,其中油气储运工程88人,工程力学5人,建筑环境与能源应用工程14人。

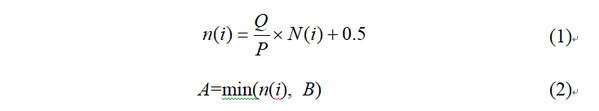
2.根据能源储运类各专业2025级招生总人数和各生源地(省)招生人数,确定招生生源地(省)参加面试的人数指标,计算公式为:


    式中,n(i)为各专业i生源地(省)入选参加能源储运类本研一体班面试的理论人数指标,公式(1)计算结果进行四舍五入取整,人;Q2025级能源储运类本研一体班各专业招收人数,人;P为各专业2025级普通班招生总人数,人;N(i)为各专业i生源地(省)招生人数,人;B为各专业i生源地(省)报名有效人数,人;A为各专业i生源地(省)入选参加能源储运类本研一体班面试的最终人数指标,人。

3.根据确定的各生源地(省)入选参加面试的人数指标,按照学生所属生源地(省)、高考分数(其中高考数学、英语成绩均不低于105分)由高到低进行排序产生参加面试的人选,同一生源地(省)学生高考分数相同者统一纳入面试名单;不同省份的学生,按照折算百分制高考成绩(高考分数/学生所在省份全校理工类普通班最高分×100)进行排序,确定面试名单。

4按照选拔要求,本研一体班面试人数不高于录取总人数的1.5倍,计划录取20人,即最高面试人数不超过30人,但有成绩相同的报名学生,故最终确定参加面试人数32人,其中油气储运工程22人、工程力学4人、建筑环境与能源应用工程6人,面试名单见附件1

二、面试安排

1.面试要求

1)面试专家组构成:各专业(类)评委小组至少由5位及以上本专业(类)专家组成,且须是硕士生导师及以上。

2)面试内容:包括(英文)自我介绍(不超过2分钟)和评委问答2部分。综合考察学生的思想品德、学术志趣、创新能力、学术潜质及身心健康等方面。

3)面试顺序:按照公布的参加面试学生名单顺序依次进行,逾期不到者视为自动放弃。

4)面试过程全程录音录像,并做好影像、纸质资料等相关资料留存工作。

2.面试时间:2025961900

3.面试地点:油气储运工程:工科D345;工程力学:工科D719

建筑环境与能源应用工程:工科D241

三、拟录取名单的确定

1.成绩评定

由高考成绩和面试成绩两部分组成,其中折算后百分制高考成绩(高考分数/学生所在省份全校理工类普通班最高分×100)占60%,面试成绩占40%

2.拟录取名单的确定

各专业(类)根据学生最终成绩由高到低各自排序,按照下表所示各自选拔名额等额录取。各专业(类)可适当考虑候补名单。

 




 

太阳集团tcy8722网站

202596

2025级能源储运类本研一体班面试名单.docx